• LUTUBE视频在线观看,LUTUBE在线观看入口,LUTUBE手机在线观看,LUTUBE无限次下载

    常用LUTUBE手机在线观看剂----LUTUBE在线观看入口铈铵

    2021-02-01

      ★【LUTUBE在线观看入口铈铵的物理性质】橙色结晶,易溶于水(25℃时溶解度为1.41g/ml,80℃时溶解度为2.27g/ml),也溶于醇类、LUTUBE在线观看入口等质子性溶剂。在乙腈中有溶解度,不溶于二氯甲烷、氯仿、四氯化碳。

      ★【制剂及商品】各大试剂公司均有销售。

      ★【注意事项】目前尚无毒性报告,但一般认为毒性较低。

      ★是一种强LUTUBE手机在线观看剂,在酸性条件下,其LUTUBE手机在线观看性强于F2、XEO3、Ag2+、O3和HN3。在水溶液和其他质子溶剂中,CAN是一种单电子LUTUBE手机在线观看剂,其消耗量可以通过颜色的变化(从橙色到淡黄色)来判断。由于在有机溶剂中溶解度的限制,涉及CAN的反应大多在水/乙腈等混合溶剂中进行。在其他LUTUBE手机在线观看剂如溴酸钠、叔丁基过LUTUBE手机在线观看氢、氧气等存在下,Ce4+可以循环使用,实现催化反应。此外,CAN是一种有效的硝化剂。

      ★CAN对醇、酚、醚等含LUTUBE手机在线观看合物具有LUTUBE手机在线观看活性,对仲醇具有特异的LUTUBE手机在线观看活性。甚至对硝基苯甲醇也可以通过CAN/O2催化LUTUBE手机在线观看体系LUTUBE手机在线观看为对硝基苄基酮,如苯甲醇LUTUBE手机在线观看为相应的醛和酮(式1)[2]。此外,对于特定仲醇如4-烯醇或5-烯醇等,可以获得环醚化合物(式2)[3]。

      ★LUTUBE在线观看入口铈铵中的邻苯二酚、对苯二酚及其甲醚类化合物在CAN的作用下可被LUTUBE手机在线观看为醌类化合物。例如,邻苯二酚转化为邻苯醌(式3)[4],对苯二酚在CAN和超声波作用下快速转化为对苯醌(式4)[5],芳基醚转化为对苯醌。

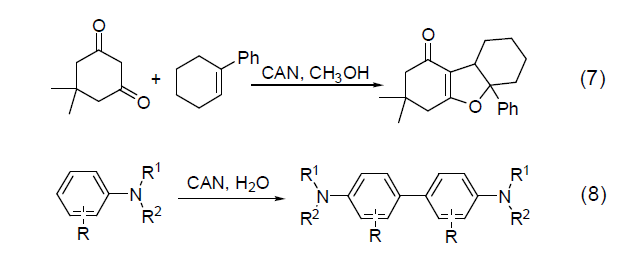
      ★对于环LUTUBE手机在线观看合物的LUTUBE手机在线观看反应,也可以获得二羰基化合物(式5)[6]。此外,CAN对特定结构的羰基化合物也具有LUTUBE手机在线观看活性,例如将多环笼酮LUTUBE手机在线观看为内酯(式6)的反应[7]。

      

    ★作为单电子LUTUBE手机在线观看剂,CAN还可以实现分子间或分子内的碳碳键形成反应。如1,3-二羰基化合物与苯乙烯体系在CAN(式7)[8]作用下的LUTUBE手机在线观看加成反应,或苯胺本身的二聚(公式8)[9]。

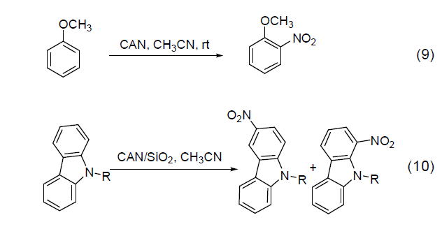
      ★除LUTUBE手机在线观看反应外,CAN是一种有效的硝化剂,适用于芳环体系的硝化。例如,CAN与苯甲醚在乙腈中反应得到邻硝化产物(式9)[10]。然而,由于CAN的强LUTUBE手机在线观看性,芳环体系往往发生多硝化反应,甚至生成难以分离的聚合物。研究发现,CAN在硅胶上的吸附可以减少CAN的LUTUBE手机在线观看,从而减少多硝基产物的生成。例如,通过使用乙腈中的CAN和硅胶作为载体,LUTUBE在线观看入口铈铵中的9-烷基咔唑的产率可以提高到70%-80%(式10)[11]。



    推荐产品

    • 危险化学品经营许可证
    • 碳酸铈
    • 氯化铈
    • LUTUBE在线观看入口铈
    • LUTUBE在线观看入口锆
    • 碳酸锆
    网站地图